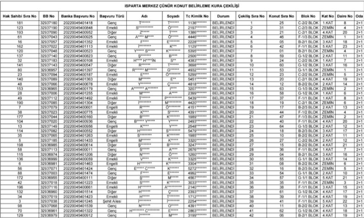
Isparta Merkez Çünür Mahallesi’nde inşa edilen sosyal konutlar için beklenen kura çekimi tamamlandı. Toplu Konut İdaresi Başkanlığı (TOKİ) tarafından yürütülen 250 Bin Sosyal Konut Projesi kapsamında hayata geçirilen projede, hak sahipleri noter huzurunda yapılan kura ile belirlendi.
17 Kasım tarihinde saat 10.00’da gerçekleştirilen kura çekilişi sonucunda, toplam 65 konut için hak sahipleri belli oldu. Projede 56 adet 2+1, 9 adet 3+1 nitelikli konut yer alıyor.
Kura sonuçlarının açıklanmasının ardından hak sahiplerinin isim listesi TOKİ tarafından ilan edildi. Talihliler, sonraki süreçle ilgili bilgilendirilecek ve yeni yuvalarına kavuşmak için gerekli adımları atacak.
Çünür TOKİ projesinde hak sahibi olamayan vatandaşlar ise bir sonraki etap veya yeni projeler için başvuru süreçlerini takip edebilecek. Kura çekimiyle birlikte bölgede büyük bir heyecan yaşanırken, hak sahipleri yeni evlerine kavuşacakları günü sabırsızlıkla beklemeye başladı.







